• Предмет: Математика
  • Автор: igor10397
  • Вопрос задан 3 года назад

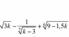
Найдите область определения выражения!!!!

Приложения:

Ответы

Ответ дал: dianaspichak140803
1

Ответ:K принадлежит промежутку (3;6]

Пошаговое объяснение:

Вас заинтересует