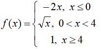
Задана функция y=f(x) . Найти точки разрыва функции, если они существуют. Сделать чертеж.
Приложения:

Ответы
Ответ дал:
1
точка А с координатами (4;1) является выколотой
Приложения:

Вас заинтересует
2 года назад
2 года назад
7 лет назад
7 лет назад
9 лет назад