• Предмет: Математика
  • Автор: 07xxxtentacion0756
  • Вопрос задан 3 года назад

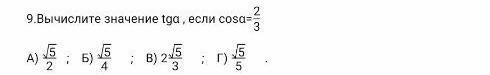
помогите пожалуйста с 9​

Приложения:

Ответы

Ответ дал: 34567899876533
0

Ответ:

А

Пошаговое объяснение:

tg= sin/cos

sin2+cos2=1

sin2=1-сos2=1 - 4/9=5/9

sin=корень из 5/3

tg=корень из 5/3 : 2/3

tg=корень из 5/2

А

Вас заинтересует