Ответы
Ответ дал:
1
Ответ:
Я не знала какой делать, поэтому сделала оба
Приложения:

Ответ дал:
0
Объяснение:
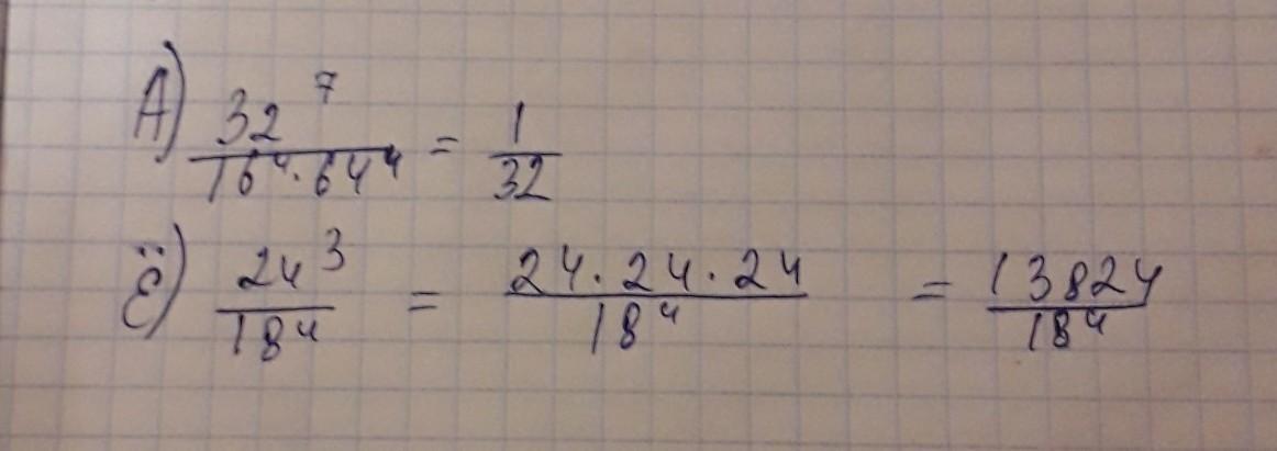
1)
32^7 /16^4×64^4=2^35 /2^16×2^24=
=2^19 /2^24=1 /2^5=1/32
2)
24^3 /18^4=24×24×24 /18^4=13824/18^4
Вас заинтересует
2 года назад
7 лет назад
7 лет назад
9 лет назад