• Предмет: Алгебра
  • Автор: demon19151
  • Вопрос задан 3 года назад

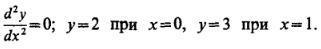
Неполное дифференциальное уравнение второго порядка (1 Задание)

Приложения:

Ответы

Ответ дал: Аноним
1

 \frac{\mathrm{d}y}{\mathrm{d}x} = p = p(x)

тогда

 \frac{\mathrm{d}^2y}{\mathrm{d}x^2} = \frac{\mathrm{d}p}{\mathrm{d}x} = 0

Интегрируем

 p = C_1

 \frac{\mathrm{d}y}{\mathrm{d}x} = C_1

Интегрируем

 y = C_1\cdot x + C_2

 2 = C_1\cdot 0 + C_2

 C_2 = 2

 y = C_1\cdot x + 2

 3 = C_1\cdot 1 + 2

 C_1 = 3 - 2 = 1

 y = x + 2

Вас заинтересует