Ответы
Ответ дал:
1
Ответ:
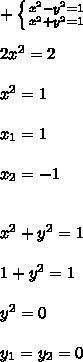
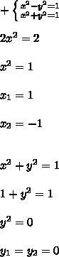
У меня был подобный вопрос, решение на картинке, внизу не надо.
Объяснение:
Приложения:


Ответ дал:
2
X•4y-1=4xy-1 - вот ответ, поставь ❤️ за старание
Вас заинтересует
2 года назад
2 года назад
2 года назад
2 года назад
7 лет назад
7 лет назад
9 лет назад