• Предмет: Математика
  • Автор: Аноним
  • Вопрос задан 3 года назад

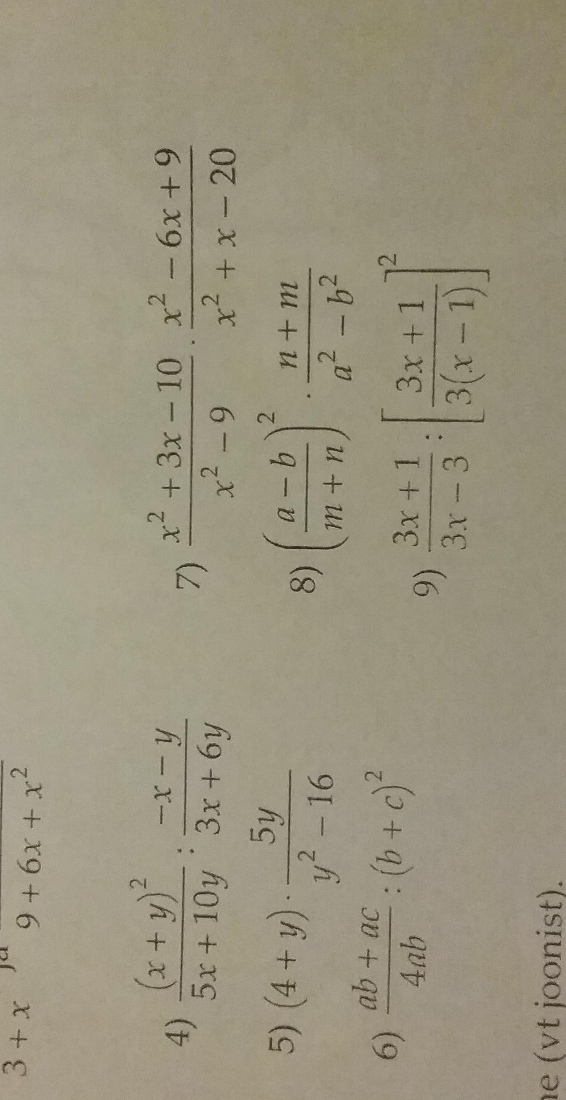
Решите примеры 4,7,9.Даю 100 баллов!!!​

Приложения:

Ответы

Ответ дал: mfly73729
0

Ответ:

4)-\frac{3x+3y}{5}   7)\frac{x^{2}-5x+6}{x^{2} -x-12}   9)\frac{3x-3}{3x+1}

Пошаговое объяснение:


Аноним: с подробным решением
Вас заинтересует