Ответы
Ответ дал:
0
Ответ:
4
Объяснение:
4(2x-y)(2x+y)/3(2x-y)
4(2x+y)/3
4(2+1)/3=4
Аноним:
Вы видите ,как работает жизнь ! Я ответила раньше ,правильно ,но все лавры достались лишь какому-то попрошайке ,который лишь позже исправил свой ответ . Дамы и господа , всё плохо !
Ответ дал:
1
Ответ:
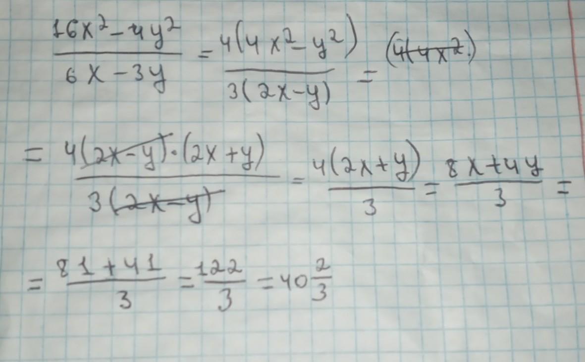
ответ::::::40 2/3
пожалуйста нажмите слово ,, лучший ответ,,
Объяснение:
очень легко
Приложения:

Вас заинтересует
2 года назад
2 года назад
2 года назад
7 лет назад
9 лет назад