(((ВАЖНО!!!)))
Помогите с контрольной, выдали на дом, не могу решить, могу дать и больше баллов
Приложения:

Ответы
Ответ дал:
1
Ответ:
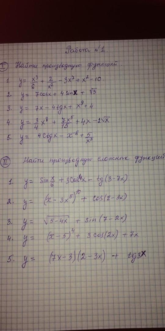
Задание 1
Задание 2
Объяснение:
Для решения использовались формулы дифференцирования
Приложения:

ArseniySladko555:
Огромное спасибо, вы очень меня выручили!
Вас заинтересует
2 года назад
2 года назад
2 года назад
2 года назад
7 лет назад
7 лет назад
9 лет назад
9 лет назад