• Предмет: Математика
  • Автор: kaalkdgrsjkdl
  • Вопрос задан 3 года назад

Помогите пожалуйста. Буду благодарен

Приложения:

Ответы

Ответ дал: zveryakovanata
0

Ответ:

Пошаговое объяснение:

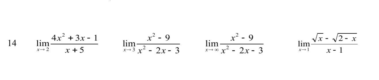
1)limₓ₋₂ (4x²+3x-1)/(x+5)=(4·4+3·2-1)/(2+5)= 21/7=3  

2) limₓ₋₃(x²-9)/(x²-2x-3)= limₓ₋₃ (x-3)(x+3)/(x-3)(x+1) = limₓ₋₃(x+3)/(x+1)= =6/4=1,5  

3) limₓ₋₀₀(x²-9)/(x²-2x-3)=limₓ₋₀₀ x²(1-9/x²)/x²(1-2/x-3/x²)= 1/1=1  

4) limₓ₋₁ (√x-√2-x)/(x-1)=limₓ₋₁ (√x-√2-x) (√x+√2-x)/(x-1) (√x+√2-x) =    limₓ₋₁ (2x-2)/(x-1) (√x+√2-x) =limₓ₋₁ 2(x-1)/(x-1) (√x+√2-x) =

limₓ₋₁ 2/ (√x+√2-x) =2/ (1+1)=1

Вас заинтересует