Найти производную функции и вычислить значение производной в точке:(условие на фото) Помогите пожалуйста!!
Приложения:

Ответы
Ответ дал:
1
Ответ:
Объяснение:
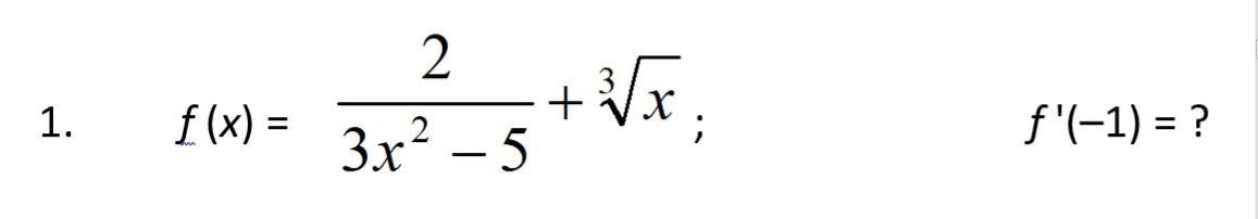
f(x) = 2/(3x²-5) + ∛x
f(x) = 2/(3x²-5)=2*(3x²-5)⁻¹
f(x)¹= -1*(2*6х)*(3x²-5)⁻² +1/(3*∛х²)=-12х/(3x²-5)²+1/(3*∛х²)
f(-1)¹= -12*(-1)/(3*1-5)² +1 /(3*∛1)=12/4+1/3= 3 1/3
Вас заинтересует
2 года назад
2 года назад
2 года назад
2 года назад
7 лет назад