• Предмет: Математика
  • Автор: Ифигения
  • Вопрос задан 3 года назад

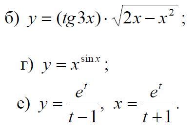
Найти производные \frac{dy}{dx} заданных функций.

Приложения:

Ответы

Ответ дал: Miroslava227
2

Ответ:

б)

y '=  \frac{1}{ { \cos}^{2} (3x)}  \times 3 \sqrt{2x -  {x}^{2} }  +  \frac{1}{2 \sqrt{2x -  {x}^{2} } }  \times (2 - 2x)tg(3x) =  \\  =  \frac{3 \sqrt{2x -  {x}^{2} } }{ { \cos }^{2}(3x) }  +  \frac{2(1 - x)tg(3x)}{2 \sqrt{2x -  {x}^{2} } }  =  \\  \frac{3 \sqrt{2x -  {x}^{2} } }{ { \cos }^{2}(3x) }  +  \frac{(1 - x)tg(3x)}{ \sqrt{2x -  {x}^{2} } }

г)

По формуле:

y' = ( ln(y)) ' \times y

( ln(y))'  = ( ln( {x}^{ \sin(x) } ) )' = ( \sin(x)  \times  ln(x))'  =  \\  =   \cos(x)  \times  ln(x)  +  \frac{ \sin(x) }{x}

y' =  {x}^{ \sin(x) }  \times ( \cos(x) \times  ln(x)   +  \frac{ \sin(x) }{x} ) \\

е)

По формуле:

y'x =  \frac{y't}{x't}

y't =   \frac{ {e}^{t} (t - 1) -  {e}^{t} }{ {(t - 1)}^{2} }  =   \frac{ {e}^{t} (t - 2)}{ {(t - 1)}^{2} }

x't =  \frac{ {e}^{t} (t + 1) -  {e}^{t} }{ {(t + 1)}^{2} }  =  \frac{ {e}^{t} (t + 1 - 1)}{ {(t + 1)}^{2} }  =  \\  =  \frac{ {e}^{t} t}{ {(t + 1)}^{2} }

y'x =  \frac{ {e}^{t} (t - 2)}{ {(t - 1)}^{2} }  \times  \frac{ {(t + 1)}^{2} }{ {e}^{t} t}  =  \\  =  \frac{(t - 2) {(t + 1)}^{2} }{t {(t - 1)}^{2} }


Ифигения: Огромное спасибо!
Miroslava227: завтра еще ДУ порешаю)
Ифигения: <3
Вас заинтересует