Ответы
Ответ дал:
1
Ответ:
9
Пошаговое объяснение:
Приложения:

Ответ дал:
0
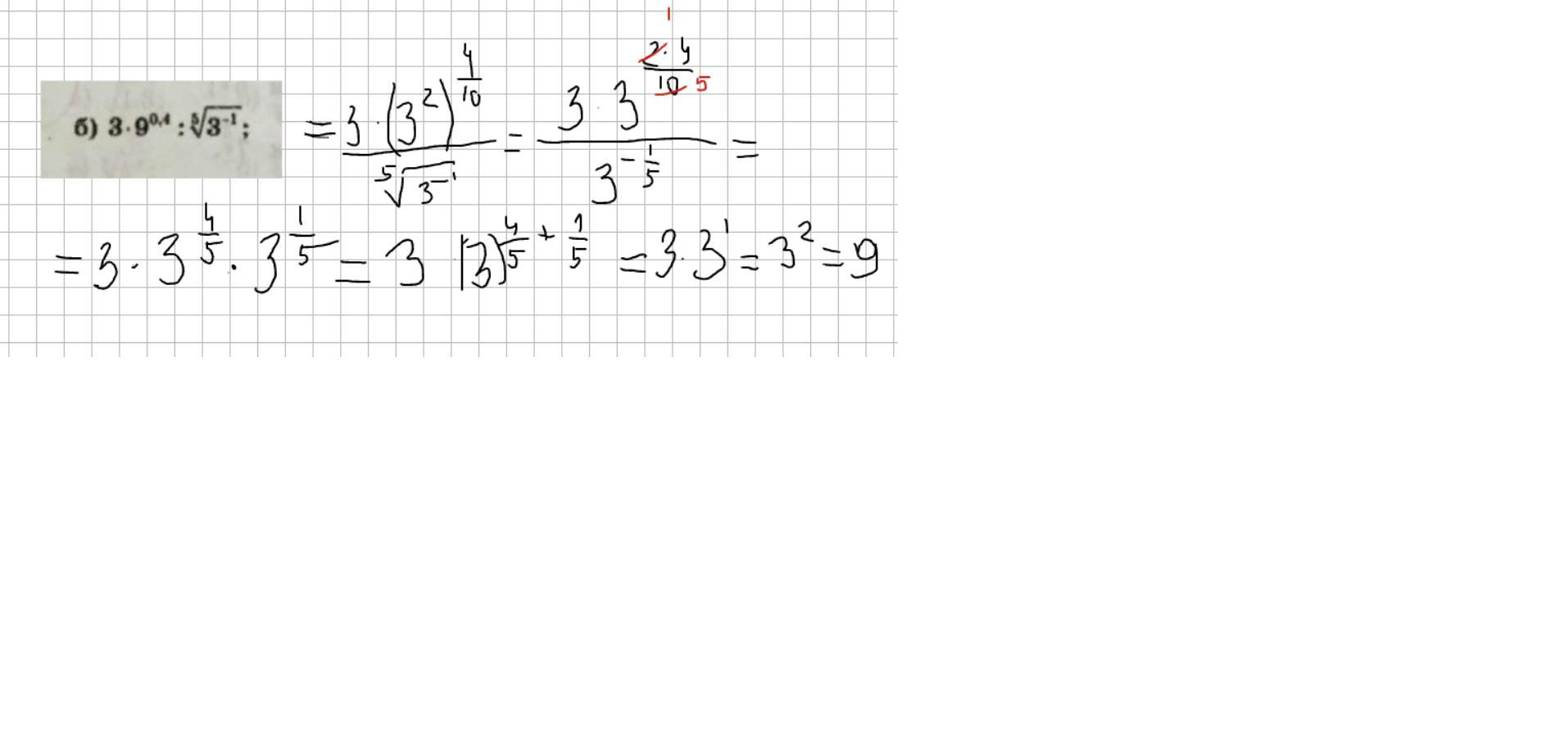
= 3^1 • (3^2)^(0,4) : (3^(-1))^(1/5) =
= 3^1 • 3^(0,8) • (3^(-1))^(-0,2) =
= 3^1 • 3^(0,8) • 3^((-1)•(-0,2)) =
= 3^1 • 3^(0,8) • 3^(0,2) =
= 3^(1 + 0,8 + 0,2) =
= 3^2 = 9
Ответ: 9
= 3^1 • 3^(0,8) • (3^(-1))^(-0,2) =
= 3^1 • 3^(0,8) • 3^((-1)•(-0,2)) =
= 3^1 • 3^(0,8) • 3^(0,2) =
= 3^(1 + 0,8 + 0,2) =
= 3^2 = 9
Ответ: 9
Вас заинтересует
2 года назад
2 года назад
7 лет назад
9 лет назад