Ответы
Ответ дал:
2
Ответ:
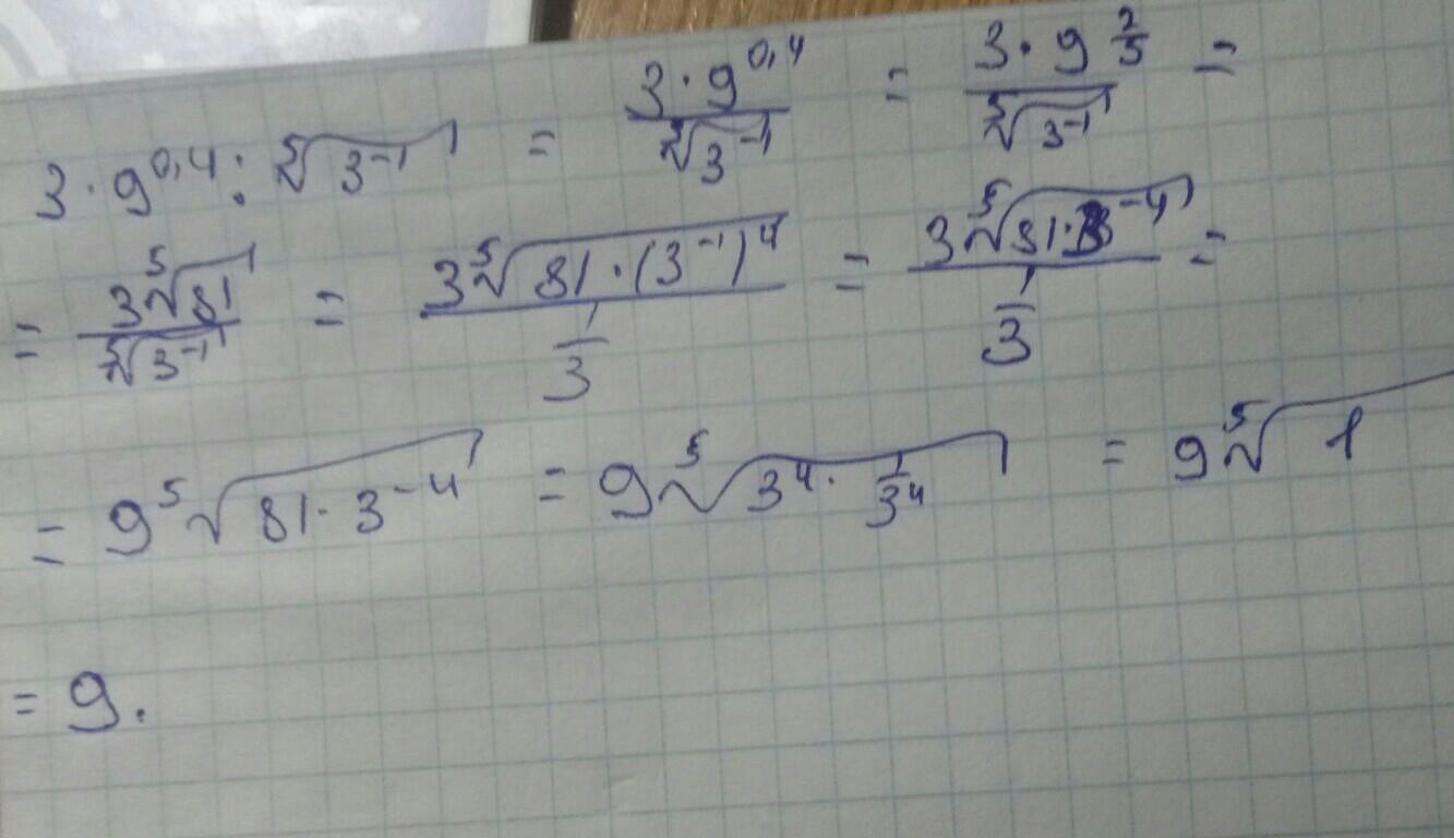
если что корень из 1 равен 1
Приложения:
onIife:
ты мой герой
это вопрос дубль. onlife - точно такой же вопрос. еще раз спасибо
Ответ дал:
2
Значок ^ показывает, что число возведено в степень:
= 3^1 • (3^2)^(0,4) : (3^(-1))^(1/5) =
= 3^1 • 3^(0,8) • (3^(-1))^(-0,2) =
= 3^1 • 3^(0,8) • 3^((-1)•(-0,2)) =
= 3^1 • 3^(0,8) • 3^(0,2) =
= 3^(1 + 0,8 + 0,2) =
= 3^2 = 9
Ответ: 9
= 3^1 • (3^2)^(0,4) : (3^(-1))^(1/5) =
= 3^1 • 3^(0,8) • (3^(-1))^(-0,2) =
= 3^1 • 3^(0,8) • 3^((-1)•(-0,2)) =
= 3^1 • 3^(0,8) • 3^(0,2) =
= 3^(1 + 0,8 + 0,2) =
= 3^2 = 9
Ответ: 9
Спасибо!
Рада помочь
Вас заинтересует
2 года назад
2 года назад
3 года назад
8 лет назад
8 лет назад