ЗАДАНИЯ
Найдите значение выражения и запишите его по действиям
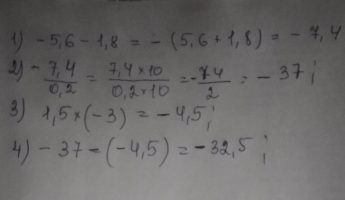
(-5,6-1,8): 0,2 - 1,5*(-3) =
пожалуйста пожалуйста пожалуйста пожалуйста пожалуйста пожалуйста пожалуйста пожалуйста пожалуйста пожалуйста пожалуйста пожалуйста пожалуйста пожалуйста пожалуйста пожалуйста пожалуйста пожалуйста пожалуйста пожалуйста пожалуйста пожалуйста пожалуйста пожалуйста пожалуйста помогите дам 50б я серьёзно, только не всякую чушь пожалуйста пожалуйста пожалуйста пожалуйста пожалуйста пожалуйста пожалуйста пожалуйста пожалуйста пожалуйста пожалуйста пожалуйста пожалуйста с решением полностью
Ответы
Ответ дал:
1
Ответ:
ответ : - 32,5
надеюсь что понятно
Приложения:

Аноним:
вот теперь спасибо
Вас заинтересует
2 года назад
2 года назад
2 года назад
7 лет назад
9 лет назад