Ответы
Ответ дал:
1
Ответ:
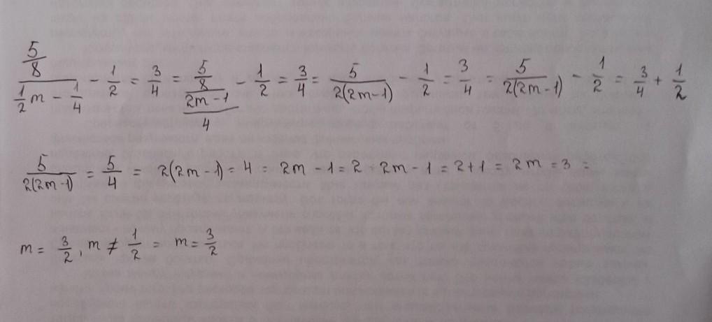
Вот ответ
надеюсь все провельно и понятно
а если нет простите
Приложения:

Вас заинтересует
2 года назад
2 года назад
7 лет назад
7 лет назад