• Предмет: Алгебра
  • Автор: RuslanRussia1881
  • Вопрос задан 3 года назад

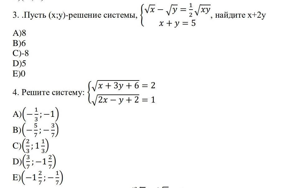
алгебра срочно помогите пожалуйста ​

Приложения:

Ответы

Ответ дал: natalyabryukhova
2

Ответ:

==================================

Объяснение:

Приложения:
Вас заинтересует