Ответы
Ответ дал:
0
Ответ:
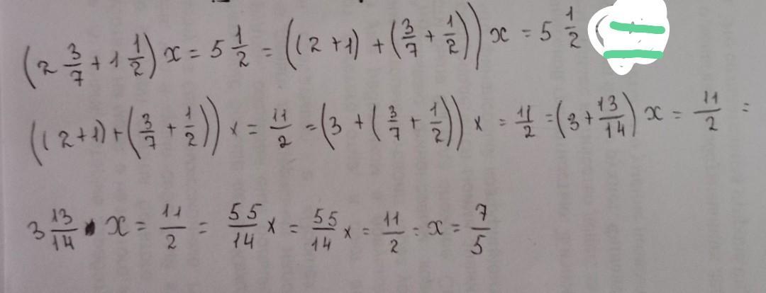
Вот ответ
Надеюсь провельно
Приложения:

Аноним:
нет помоги пожалуйста вот так
Вас заинтересует
2 года назад
2 года назад
2 года назад
2 года назад
7 лет назад