• Предмет: Алгебра
  • Автор: noname386794
  • Вопрос задан 3 года назад

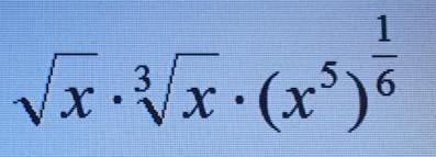
помогите пожалуйста​

Приложения:

Ответы

Ответ дал: ivanovaanye
1
попробуй так)
прости что фломастером, ручки нету ахах
Приложения:

noname386794: спс
Вас заинтересует