• Предмет: Математика
  • Автор: garagulyaslava
  • Вопрос задан 3 года назад

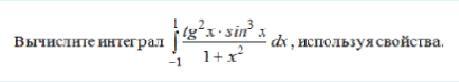
Помогите решить интеграл

Приложения:

Ответы

Ответ дал: komola2212
1

Ответ:

9 ответ наверное по моему мнению если я не ошибаюсь

Вас заинтересует