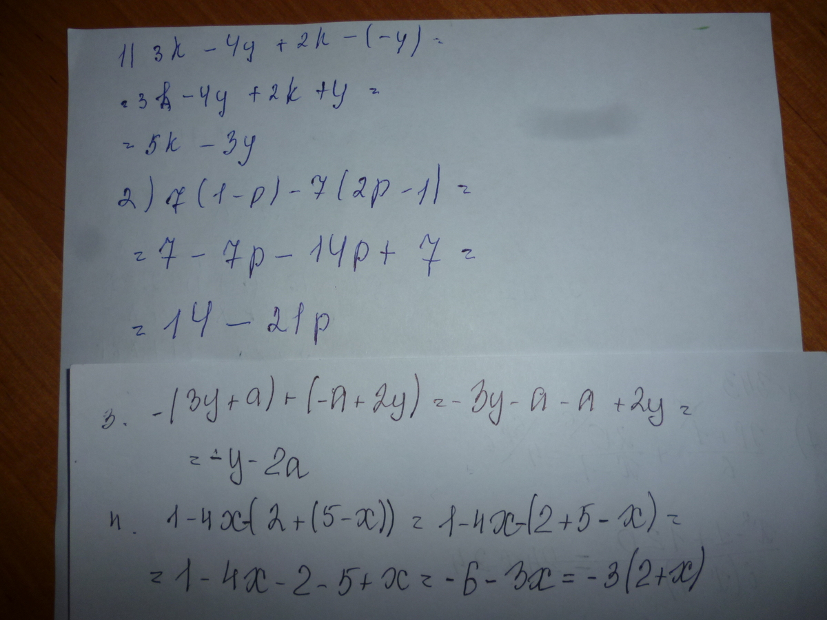
Приведение подобных слагаемых:
1) 3k-4y+2k-(-y)=
2)7(1-p)-7(2p-1)=
3) -(-3y-a)+(-a+2y)=
4) 1-4x-(2+(5-x))=
Ответы
Ответ дал:
0
ответ смотри во вложениях...
Приложения:

Вас заинтересует
2 года назад
2 года назад
8 лет назад
10 лет назад
10 лет назад