• Предмет: Математика
  • Автор: alpamisnurshat6
  • Вопрос задан 3 года назад

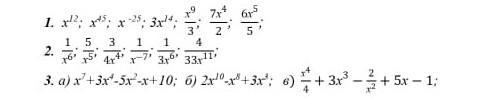
вычислите производную функций

Приложения:

Ответы

Ответ дал: Miroslava227
1

Ответ:

1.

( {x}^{12} )' = 12 {x}^{11}

( {x}^{45} )' = 45 {x}^{44}

( {x}^{ - 25} )' =  - 25 {x}^{ - 26}  =  -  \frac{25}{ {x}^{26} }

(3 {x}^{14} )' = 42 {x}^{13}

( \frac{ {x}^{9} }{3} )' = 3 {x}^{8}

( \frac{7 {x}^{4} }{2} ) =  \frac{7}{2}  \times 4 {x}^{3}  =14 {x}^{3}

( \frac{6 {x}^{5} }{5} ) '= 6 {x}^{4}

2.

( \frac{1}{ {x}^{6} } ) '= ( {x}^{ - 6} )' =  - 6 {x}^{ - 7}  =  -  \frac{6}{ {x}^{7} }

( \frac{ 5 }{ {x}^{5} } ) '= (5 {x}^{ - 5} ) =  - 25 {x}^{ - 6}  =  -  \frac{25}{ {x}^{6} }

( \frac{3}{4}  {x}^{ - 4} ) '=  - 3 {x}^{ - 5}  =  -  \frac{3}{ {x}^{5} }

( \frac{1}{ {x}^{ - 7} } )' = ( {x}^{7}) = 7 {x}^{6}

( \frac{1}{3}  {x}^{ - 6} ) '=  -  \frac{1}{2}  {x}^{ - 7}  =  -  \frac{1}{2 {x}^{7} }

( \frac{4}{33}   {x}^{ - 11}  ) '=  \frac{4 \times ( - 11)}{33}  {x}^{ - 12}  =  \\  =  -  \frac{4}{3 {x}^{12} }

3.

a)7 {x}^{6}  + 12 {x}^{3}  - 10x - 1

б)

20 {x}^{9}  - 8 {x}^{7}  + 9 {x}^{2}

в)

 {x}^{3}  + 9 {x}^{2}  + 4 {x}^{ - 3}  + 5 =  \\  =  {x}^{3}  + 9 {x}^{2}  +  \frac{4}{ {x}^{3} }  + 5


alpamisnurshat6: Arigato!!!
Вас заинтересует