• Предмет: Математика
  • Автор: Xgejgg42666
  • Вопрос задан 3 года назад

Помогите решить!!!!!! Мне надо

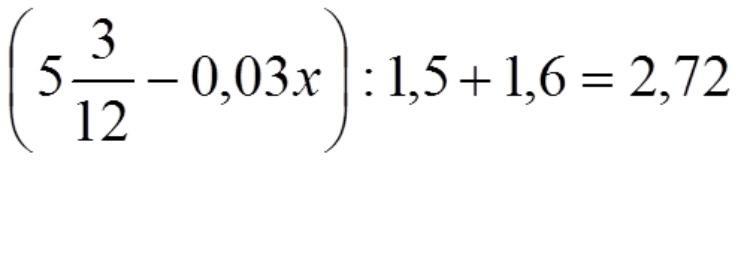
Приложения:

Ответы

Ответ дал: LN330068
1

Ответ:

5 3/12=5,25

Пошаговое объяснение:

(5 3/12-0,03Х):1,5+1,6=2,72

(5,25-0,03Х):1,5=2,72-1,6

(5,25-0,03Х):1,5=1,12

5,25-0,03Х=1,12•1,5

5,25-0,03Х=1,68

-0,03Х=1,68-5,25

-0,03Х=-3,57

Х=-3,57:(-0,03)

Х=119

Проверка

(5,25-0,03•119):1,5+1,6=2,72

(5,25-3,57):1,5+1,6=2,72

1,68:1,5+1,6=2,72

1,12+1,6=2,72

2,72=2,72

Вас заинтересует