• Предмет: Математика
  • Автор: skhoroshilova00
  • Вопрос задан 3 года назад

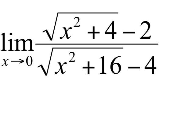
Вычислить указанный предел

Приложения:

Ответы

Ответ дал: pushpull
0

Ответ:

Пошаговое объяснение:

здесь надо избавиться от иррациональности

домножим числитель и знаменатель на соответствующие сопряженные выражения  (\sqrt{x^2+4} +2)  и  (\sqrt{x^2+16} +4)

получим длинную дробь и потом  учтем, что (a+b)(a-b) = a² - b²

\frac{(\sqrt{x^2+4}-2)(\sqrt{x^2+4}+2)(\sqrt{x^2+16}+4) }{(\sqrt{x^2+16}-4)(\sqrt{x^2+16}+4) (\sqrt{x^2+4}+2)} = \frac{x^2(\sqrt{x^2+16}+4)}{x^2(\sqrt{x^2+4}+2)} = \frac{(\sqrt{x^2+16}+4)}{(\sqrt{x^2+4}+2)}

и теперь можем посчитать предел

\lim_{x \to 0} \frac{(\sqrt{x^2+16}+4)}{(\sqrt{x^2+4}+2)}} = \frac{\sqrt{16} +4}{\sqrt{4} +2} =2

Вас заинтересует