• Предмет: Алгебра
  • Автор: marut7
  • Вопрос задан 3 года назад

дам 20 баллов, решение как можно скорее)))

Приложения:

Ответы

Ответ дал: taisasnitko
2

Ответ:

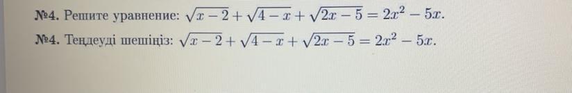
Объяснение: ОДЗ:{2x-5≥0, 4-x≥0,2x²-5x≥0 ⇔2,5≤x≤4.

при х∈[2,5;4] равенство достигается при х=3

Вас заинтересует