Ответы
Ответ дал:
1
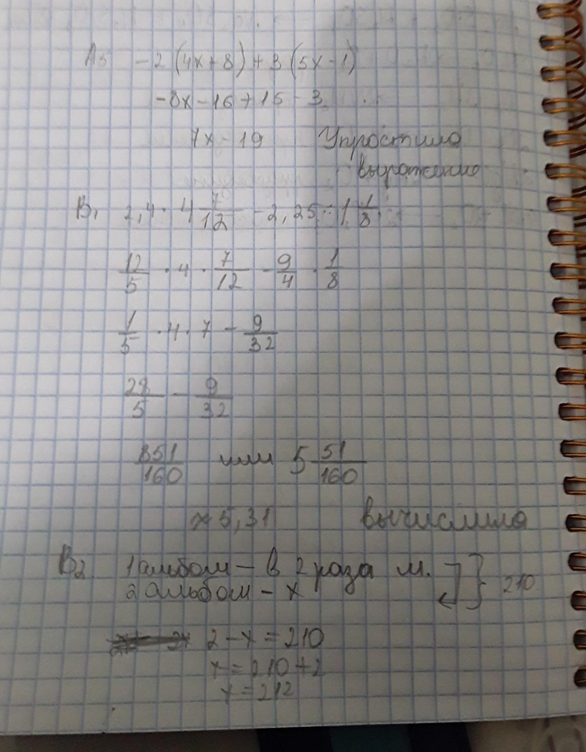
нечайно B3 решила , и то думаю что B3 нариавльно))
Приложения:


Аноним:
Огромное спасибо
Вас заинтересует
2 года назад
2 года назад
2 года назад
7 лет назад
7 лет назад
9 лет назад