• Предмет: Алгебра
  • Автор: Ифигения
  • Вопрос задан 3 года назад

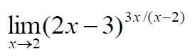
Найти предел, не пользуясь правилом Лопиталя.

Приложения:

Ответы

Ответ дал: olgaua64
1

Відповідь:

e^{12}    е^12

Пояснення:

Делаем замену у=х-2

Тогда у→0

2x - 3= 2y1

3x = y + 6

Тогда

(2x-3)^{3x/(x-2)}=((2y+1)^{1/2y})^{6y+12}

Привели ко второму замечательому пределу

При у→0 имеем е^(0+12)=е^12


Ифигения: хотелось бы конечно, чтобы объяснение было более подробным. и записано с помощью здешних формул или на листочке...
olgaua64: Так понятней?
Ифигения: https://wampi.ru/image/RipyYmw
Ифигения: Посмотрите, вот так если напишу, будет правильно?
olgaua64: Да. Просто много написано, для упрощения делаем замену, но по сути тоже
Ифигения: мне как раз лучше побольше и попонятнее для человека расписать.
olgaua64: Ок, дело вкуса
Вас заинтересует