Ответы
Ответ дал:
1
Ответ:
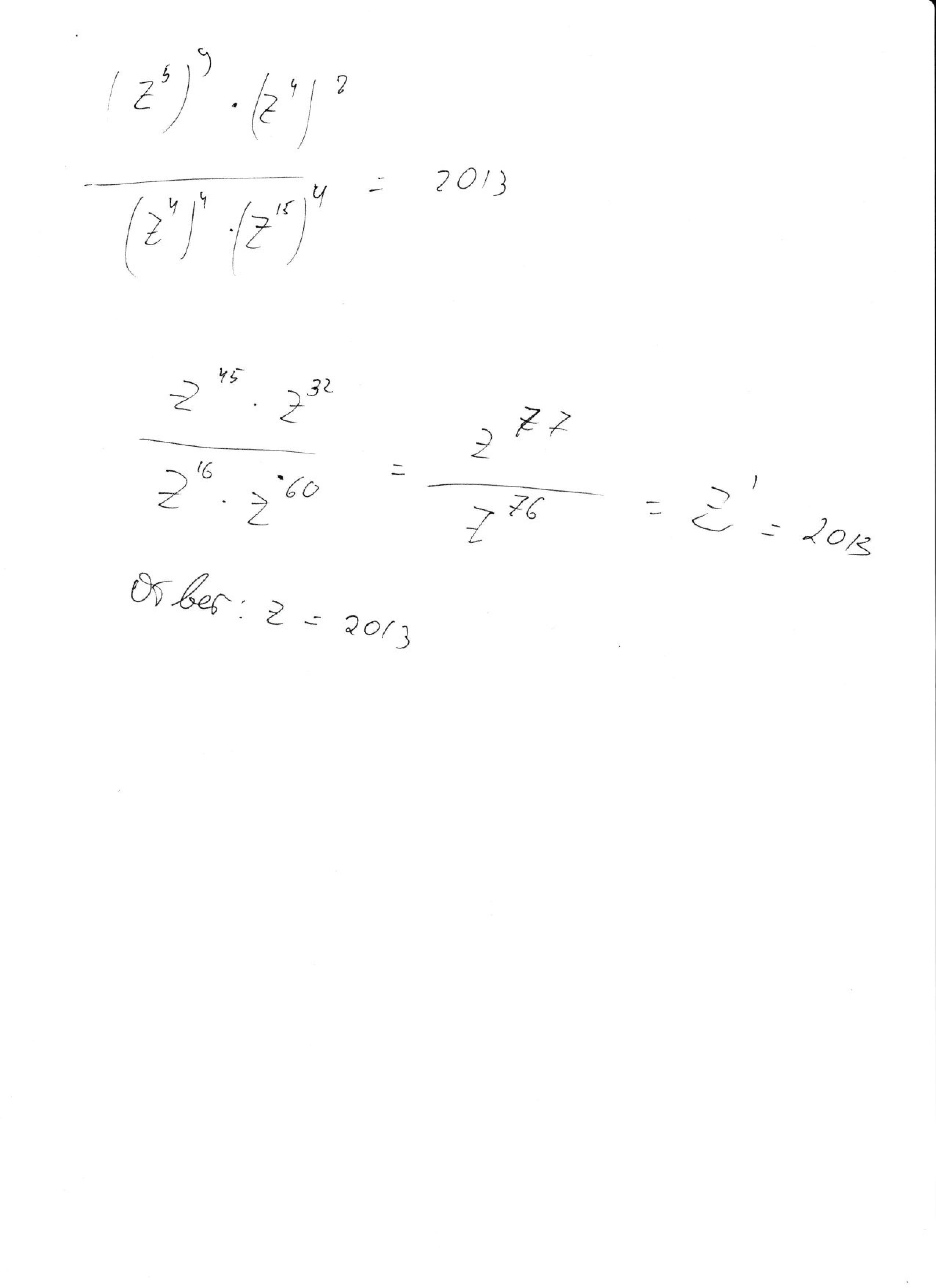
в скане
Объяснение:
Приложения:

Majesteroffire:
степень в степени - умножаешь степени, перемножение чисел с одинаковым основанием - складываешь степени, делишь числа с один. осн. - вычитаешь степени
Вас заинтересует
2 года назад
7 лет назад
7 лет назад
9 лет назад
9 лет назад