вычисли значения выражения
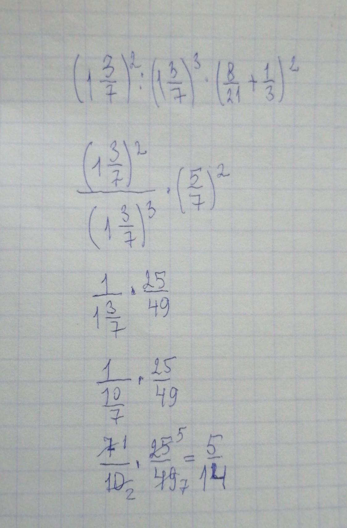
(1 3/7) 2 : (1 3/7) 3 •(8/21+1/3)2=?
Помогите плиз срочно❤️
yliabelodorina:
Кто не хочет смотреть рекламу: 5/14
Ответы
Ответ дал:
2
Пошаговое объяснение:
Решение на фото
_______
Приложения:

Вас заинтересует
2 года назад
2 года назад
2 года назад
7 лет назад
7 лет назад
9 лет назад
9 лет назад