• Предмет: Математика
  • Автор: katyamirnaya08
  • Вопрос задан 3 года назад

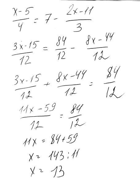
Решите уровнение x-5/4=7-2x-11/3​

Приложения:

Ответы

Ответ дал: maznyakkk
1

Ответ: во вложении ответ

Пошаговое объяснение:

Приложения:

katyamirnaya08: спасибо
maznyakkk: можно лучший ответ
katyamirnaya08: всё
Ответ дал: sashaaleeva05
2

Ответ:

x = 13

Пошаговое объяснение:

Надеюсь всё понятно

Приложения:
Вас заинтересует