Ответы
Ответ дал:
1
Відповідь:
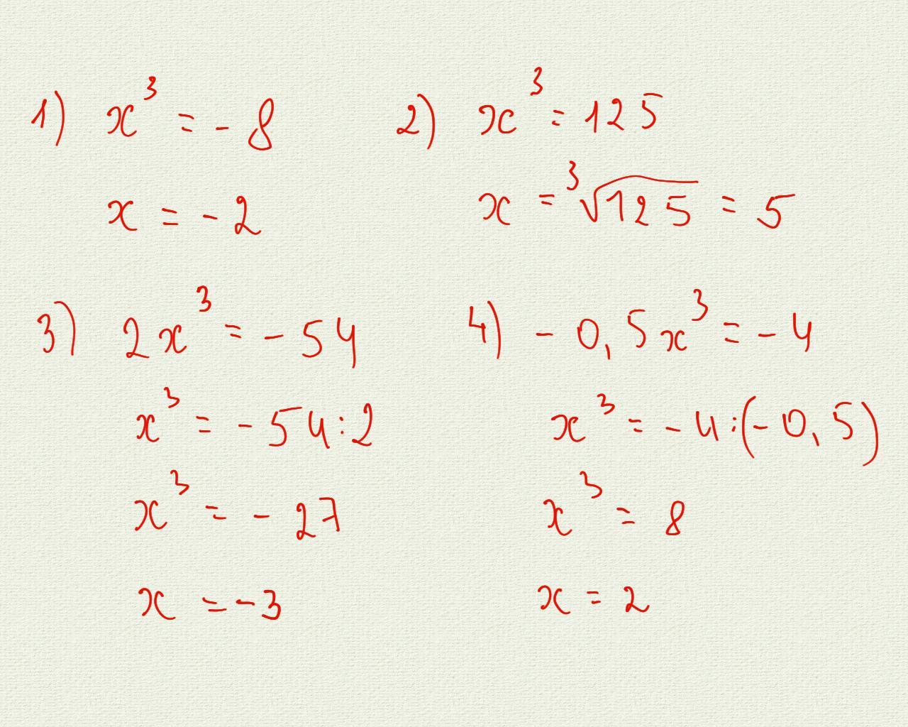
1) -2
2) 5
3) -3
4) 2
Пояснення:
Приложения:

Вас заинтересует
2 года назад
2 года назад
2 года назад
7 лет назад
7 лет назад
9 лет назад