• Предмет: Математика
  • Автор: sofiyazalevska
  • Вопрос задан 3 года назад

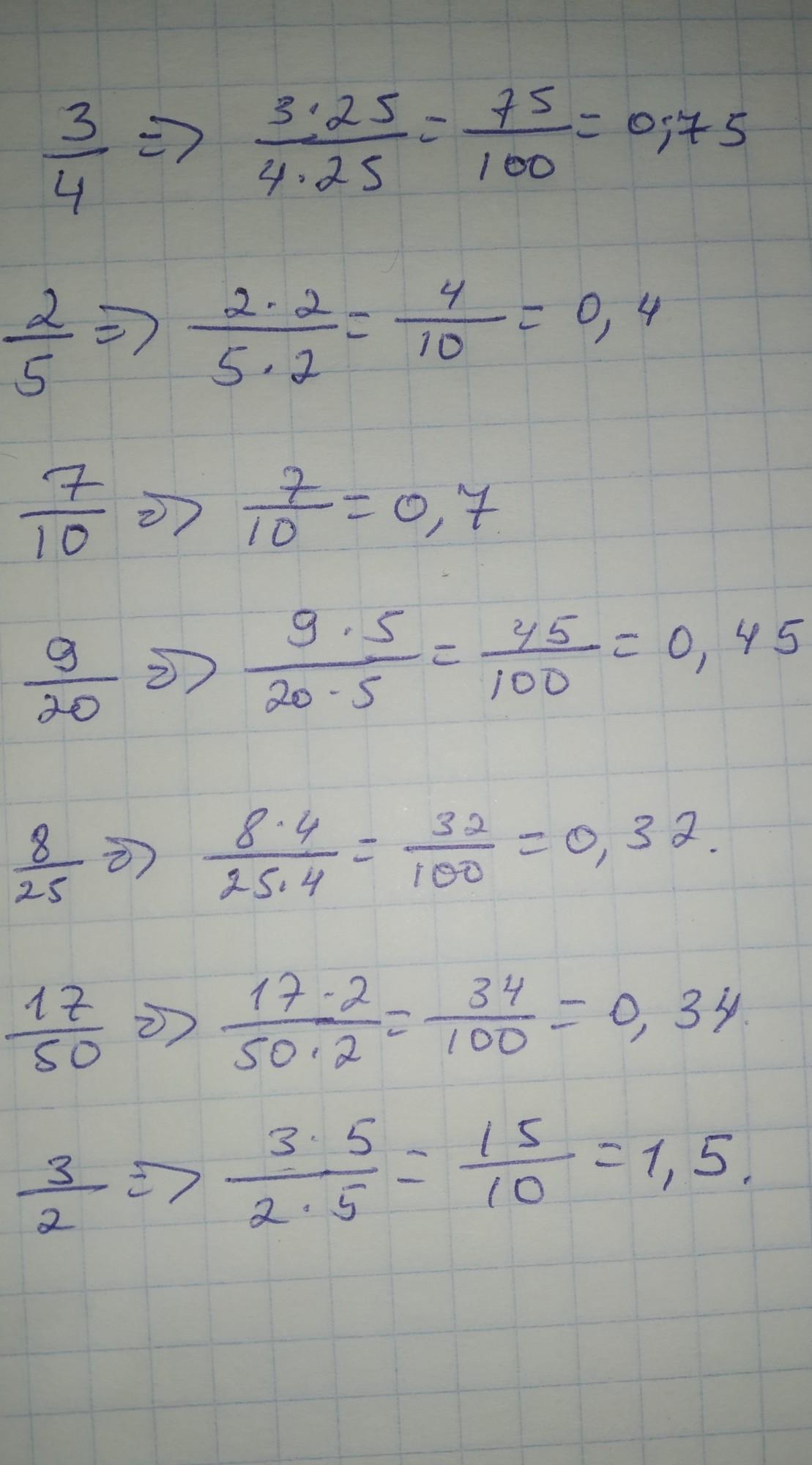
Як виразити дроби у відсотки:3/4, 2/5, 7/10, 9/20, 8/25, 17/50, 3/2?

Ответы

Ответ дал: krkrkrtech
0

Ответ:

все на картинке

Пошаговое объяснение:

кароч, делаешь все как на картинке

Приложения:
Вас заинтересует