помогите пожалуйста
Приложения:

karimlosanova:
по действиям пожалуйста
Ответы
Ответ дал:
2
Ответ:
Пошаговое объяснение:
Приложения:

Ответ дал:
1
Ответ:
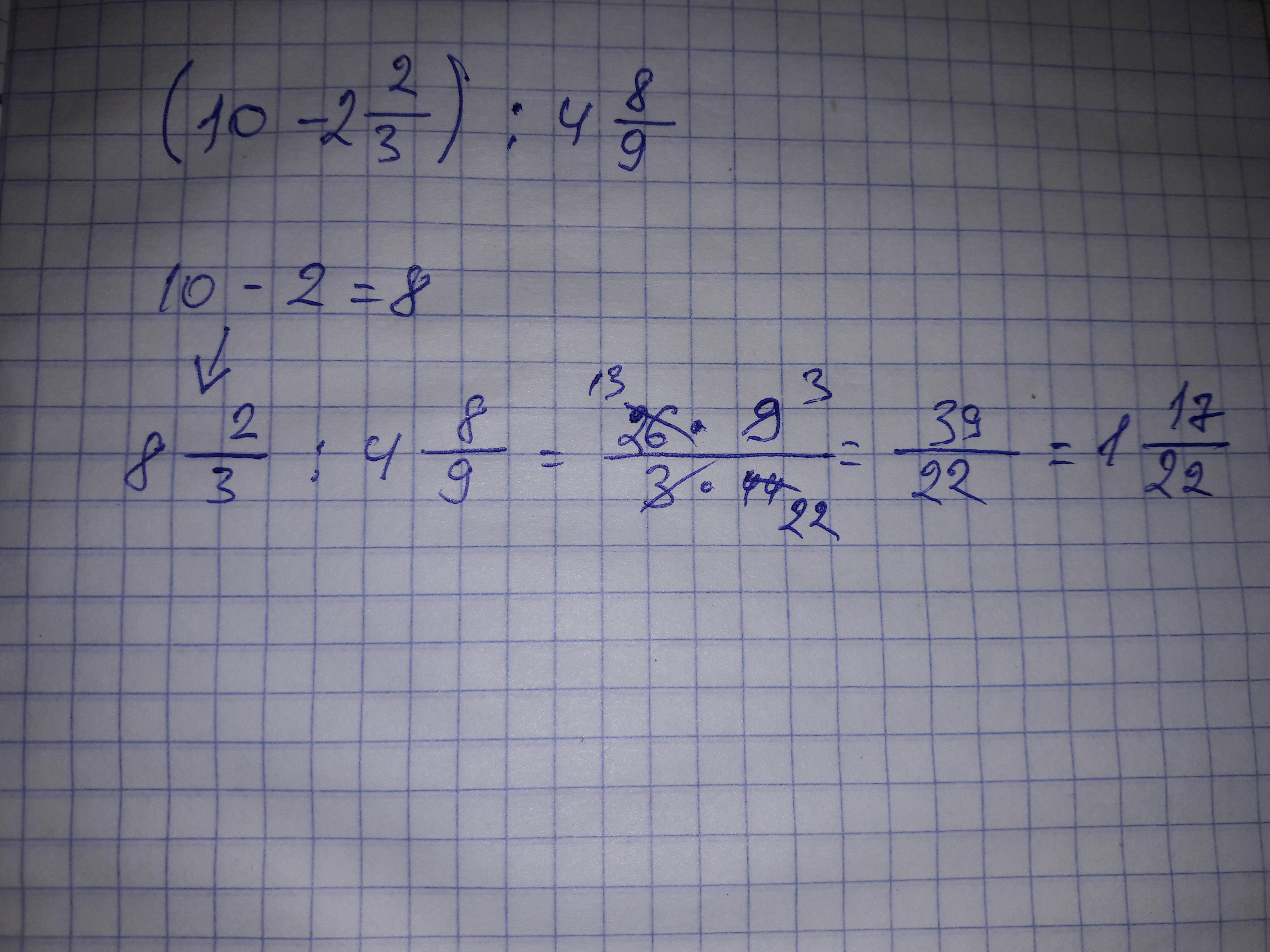
1-целых 17/22
Пошаговое объяснение:
Вот ответ стоить на фотке и можно пожалуста лучший ответ ☆ и лак♡
Приложения:

Вас заинтересует
2 года назад
2 года назад
2 года назад
2 года назад
7 лет назад