• Предмет: Математика
  • Автор: INEEDHELP1234567
  • Вопрос задан 3 года назад

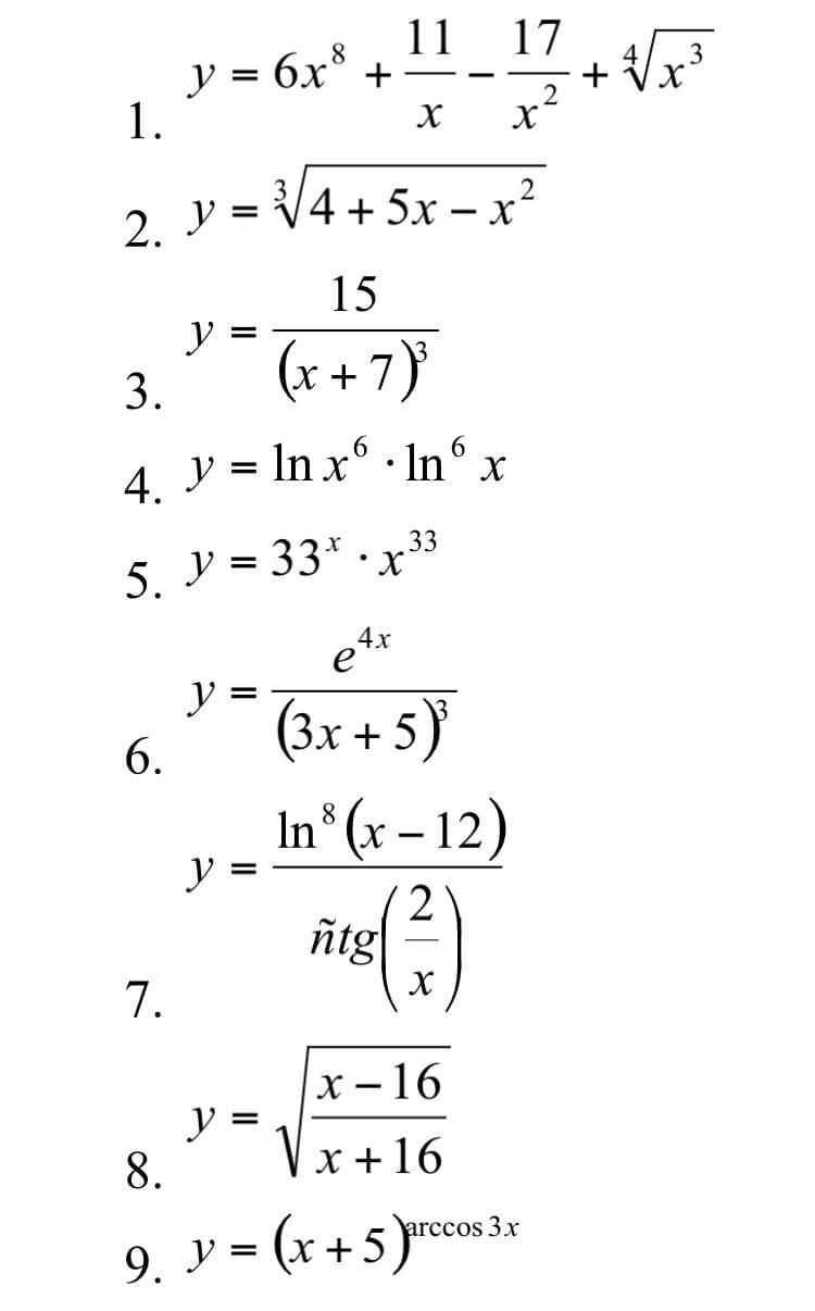
Помогите решить самостоятельную по теме "Производная сложной функции" как можно быстрее, пожалуйста)

Приложения:

Ответы

Ответ дал: Miroslava227
1

Ответ:

1)y' = 48 {x}^{7}  - 11 {x}^{ - 2}  + 34 {x}^{ - 3}  +  \frac{3}{4}  {x}^{ -  \frac{1}{4} }  =  \\  = 48 {x}^{7}  -  \frac{11}{ {x}^{2} }  +  \frac{34}{ {x}^{3} }  +  \frac{3}{x \sqrt[4]{x} }

2)y '=  \frac{1}{3}  {(4 + 5x -  {x}^{2} )}^{ -  \frac{2}{3} }  \times (5 - 2x) =  \\  =  \frac{5 - 2x}{3 \sqrt[3]{ {(4 + 5x -  {x}^{2} )}^{2} } }

3)y' = 15 \times ( - 3) {(x + 7)}^{ - 4}  =  -  \frac{45}{ {(x + 7)}^{2} }  \\

4)y' =  \frac{1}{ {x}^{6} }  \times 6 {x}^{5}  \times  { ln}^{6} (x) + 6 { ln}^{5} (x) \times  \frac{1}{x}  \times  ln( {x}^{6} )  =  \\  =  \frac{6 { ln }^{6} (x)}{x}  +  \frac{6}{x}  { ln}^{5} (x) \times  ln( {x}^{6} )

5)y' =  ln(33)  \times  {33}^{x}  \times  {x}^{33}  + 33 {x}^{32}  \times  {33}^{x}  =  \\  =  {33}^{x}  \times  {x}^{32} ( ln(33)  \times x + 33)

6)y' =  \frac{4 {e}^{4x}  {(3x + 5)}^{ 3}  - 3 {(3x + 5)}^{2} \times 3 \times  {e}^{4x}  }{ {(3x + 5)}^{6} }  =  \\  =  \frac{ {(3x + 5)}^{2} {e}^{4x} (4(3x + 5) - 9) }{ {(3x + 5)}^{6} }  =  \\  =  \frac{ {e}^{4x}(12x + 11) }{ {(3x + 5)}^{4} }

7)y '=  \frac{8  { ln}^{7}(x - 12) \times  \frac{1}{x - 12}  \times tg( \frac{x}{2}) -  \frac{1}{ {  \cos}^{2}( \frac{x}{2})   }   \times  \frac{1}{2}  \times  { ln }^{8}(x -12)  }{ {tg}^{2} ( \frac{x}{2}) }  =  \\  =  \frac{ { ln}^{7}( x- 12)  \times ( \frac{8tg( \frac{x}{2} )}{x - 12}  -  \frac{ ln(x - 12) }{2 { \cos }^{2} ( \frac{x}{2}) }) }{ {tg}^{2}( \frac{x}{2})  }

8)y '=  \frac{1}{2}  { (\frac{x - 16}{x  + 16}) }^{  -  \frac{1}{2} }  \times  \frac{x + 16 - (x - 16)}{ {(x + 16)}^{2} }  =  \\  =  \frac{1}{2}  \times  \sqrt{ \frac{x + 16}{x - 16} }  \times  \frac{x + 16 - x + 16}{ {(x + 16)}^{2} }  =  \\  =  \frac{1}{2}  \times  \frac{32}{ \sqrt{(x - 16) \times  {(x + 16)}^{3} } }  =  \\  =  \frac{16}{ \sqrt{(x - 16) {(x + 16)}^{3} } }

9)y=  {(x + 5)}^{arccos(3x)}

по формуле:

y' = ( ln(y))'  \times y

 (ln(y)) ' = ( ln( {(x + 5)}^{arccos(3x)} )'  = (arccos(3x) \times  ln(x + 5))  '=  \\  =  -  \frac{1}{ \sqrt{1 - 9 {x}^{2} } }  \times 3 \times  ln(x + 5)  +  \frac{arccos(3x)}{x + 5}

y '=  {(x + 5)}^{arccos(3x)}  \times ( -  \frac{9 ln(x + 5) }{ \sqrt{1 - 9 {x}^{2} } }  +  \frac{arccos(3x)}{x + 5} )

Вас заинтересует