• Предмет: Математика
  • Автор: Аноним
  • Вопрос задан 3 года назад

математика номер 639 есеп ​

Приложения:

nurzhanraushan2006: Подожди 2 мин
Аноним: ок
AbrarNargiz: я?

Ответы

Ответ дал: nurzhanraushan2006
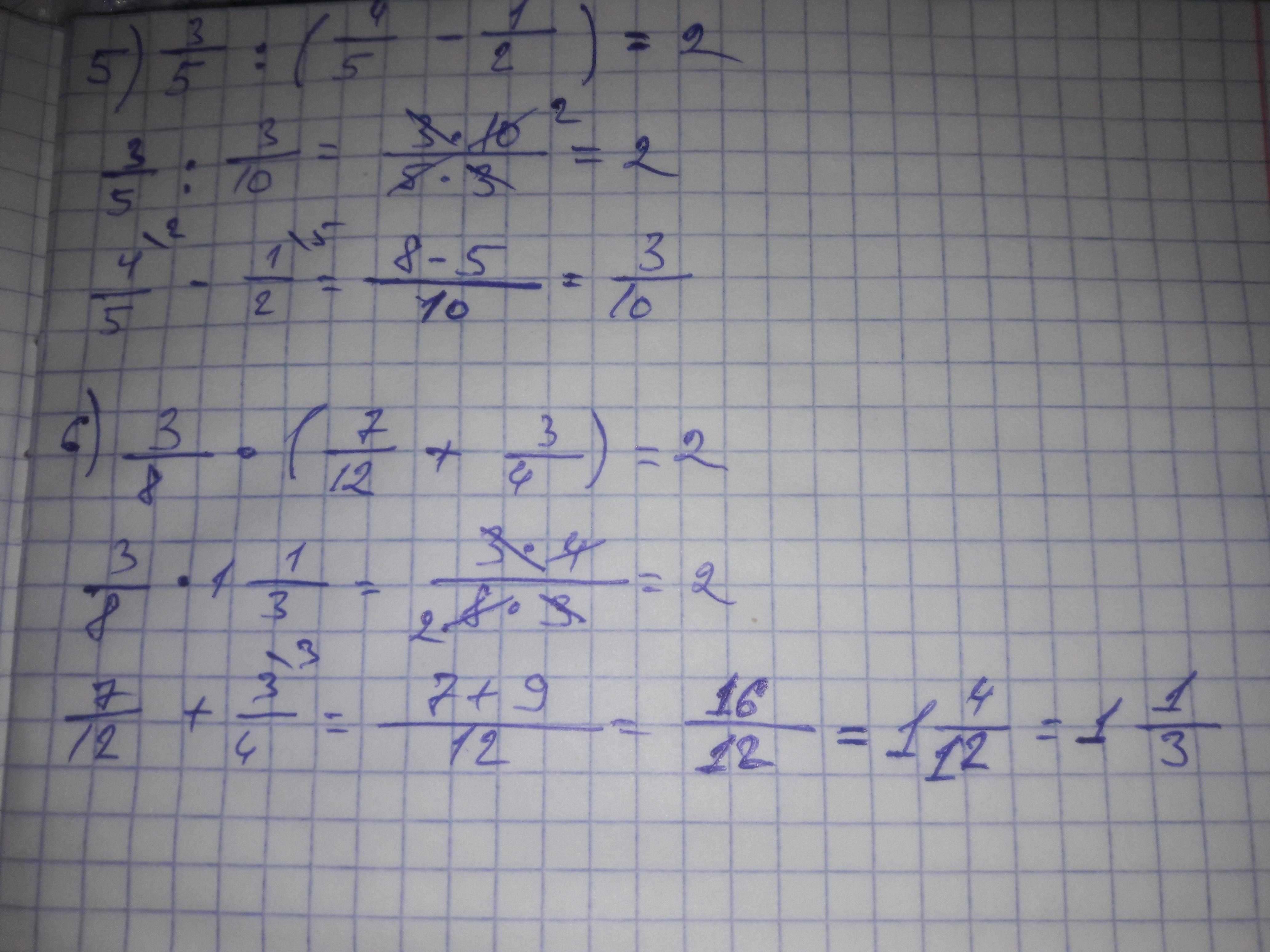
16

Ответ:

1)4

2)2.целых 1/3

3)1/2

4)3

5)2

6)2

Ещё Вот ответ стоить на фотке и всё тут правильно

Если мой ответ был полезным поставь лайк ♡ пж

Приложения:

erbolovaaalbinao01: Спасибо
nurzhanraushan2006: Нез
adambaiaidana: Спс
Аноним: спасибо
nurzhanraushan2006: Нез похоже ты фанатка блэкпинк
Вас заинтересует