• Предмет: Алгебра
  • Автор: tolmajew
  • Вопрос задан 3 года назад

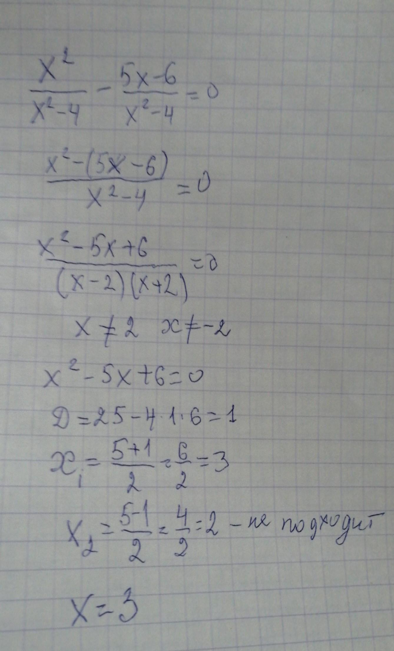
найдите корни уравнения​

Приложения:

tolmajew: можешь плиз еще один решить?

Ответы

Ответ дал: ludmilaksenija2005
1

Объяснение:

Решение на фото

=__=_____

Приложения:

tolmajew: можешь еще один решить плиз
tolmajew: можешь пожалуйста в лс написать?
Вас заинтересует