вынести множитель за знак корня
1/2 корень из 60
parus77:
это квадратный корень ?Я что то не припомню корень степени 1\2.
Ответы
Ответ дал:
1
Ответ:
Объяснение:
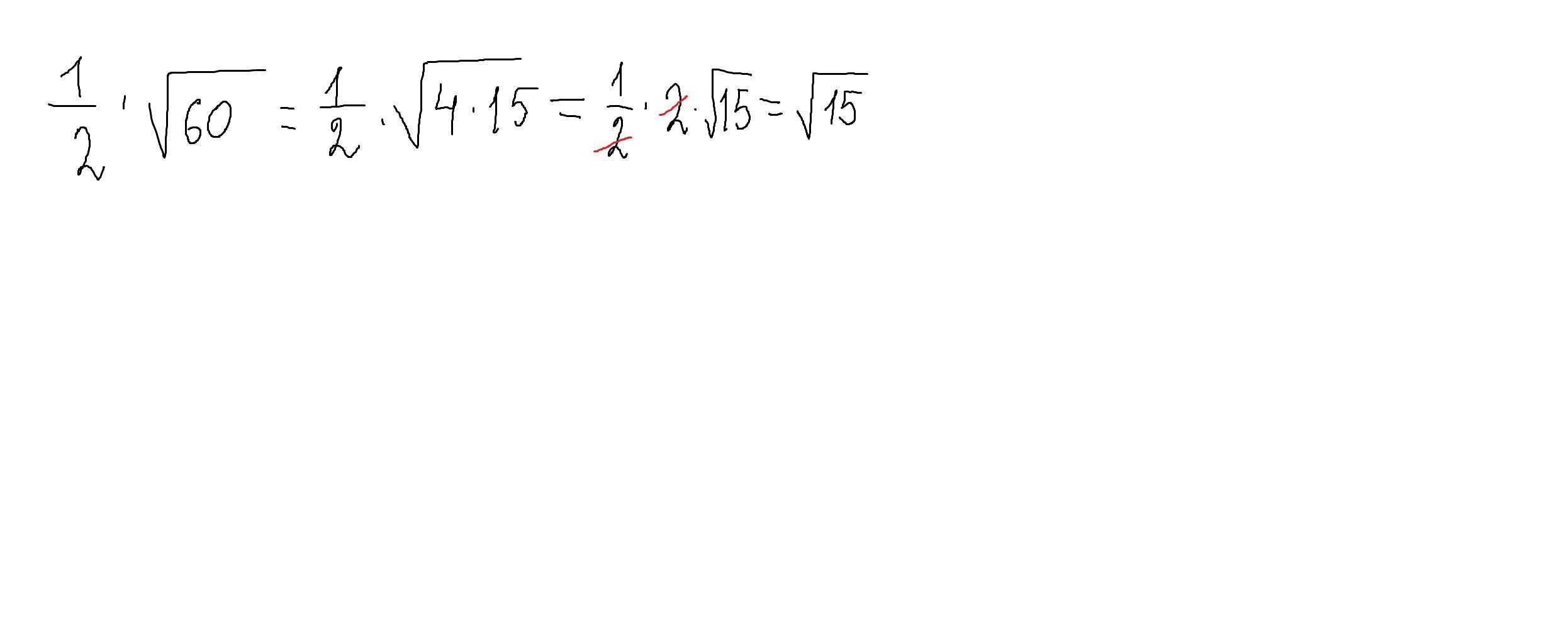
решение внизу
Приложения:

Вас заинтересует
2 года назад
2 года назад
2 года назад
7 лет назад
7 лет назад
9 лет назад