• Предмет: Алгебра
  • Автор: quderi
  • Вопрос задан 3 года назад

10 баллов. Алгебра 8 класс.
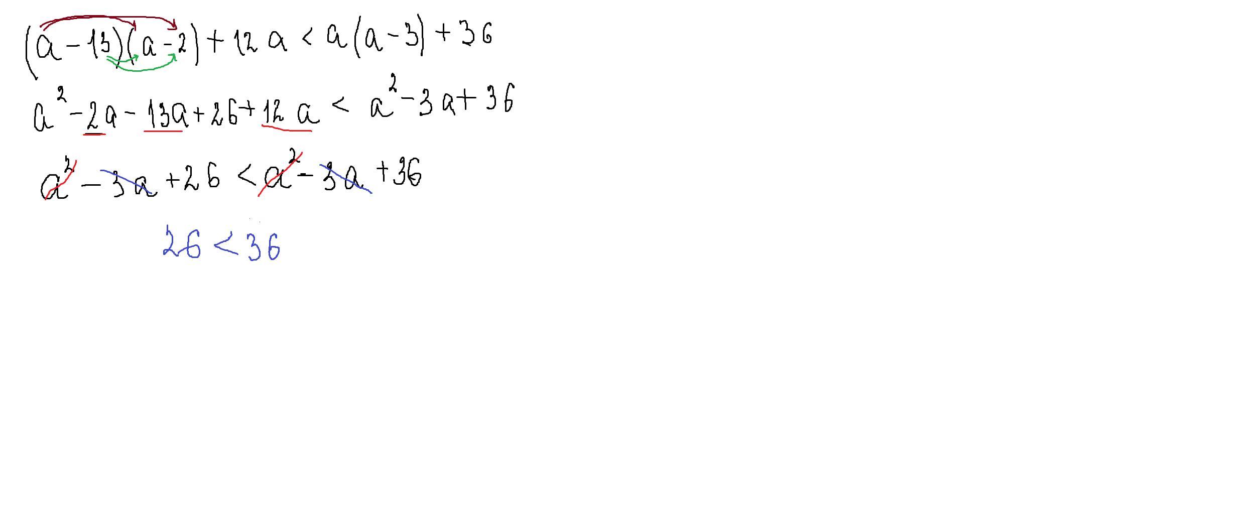
доказать, что при всех значениях а верно неравенство
(a-13)(a-2)+12a<а(а-3)+36


parus77: где неравенство?там нет знака <или >.
quderi: Простите, знак удалился, щас исправлю
quderi: доказать, что при всех значениях а верно неравенство
(a-13)(a-2)+12a
quderi: у меня не пишется..
quderi: я исправила полностью задание

Ответы

Ответ дал: parus77
1

Ответ:

Объяснение:

решение внизу

Приложения:
Вас заинтересует