Ответы
Ответ дал:
0
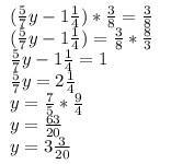
посмотри фотку там ответ
Приложения:

Ответ дал:
0
Ответ:
Пошаговое объяснение:
Вас заинтересует
2 года назад
2 года назад
2 года назад
7 лет назад
9 лет назад