Ответы
Ответ дал:
0
вот ответ Это похоже на система уравнения тама надо найти объединение и пересечение
Приложения:

Ответ дал:
0
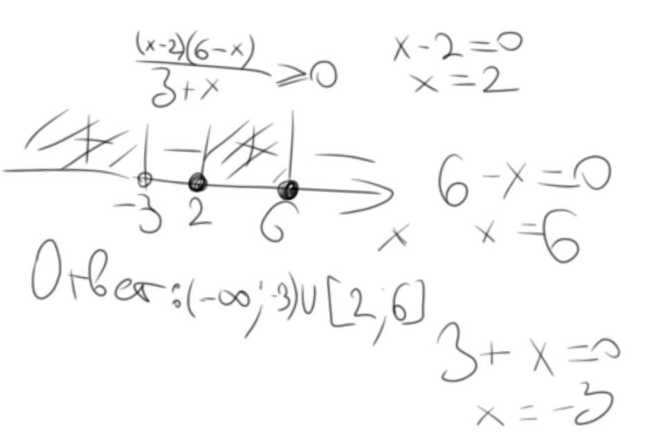
Ответ:
находим х, расписываем, берем подходящие числа.
Приложения:

Вас заинтересует
2 года назад
7 лет назад
7 лет назад
9 лет назад