• Предмет: Математика
  • Автор: sbeznew197
  • Вопрос задан 3 года назад

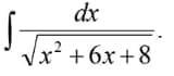
Найдите интегралы от квадратичных иррациональностей.

Приложения:

Ответы

Ответ дал: Miroslava227
1

Ответ:

\int\limits \frac{dx}{ \sqrt{ {x}^{2} + 6 x + 8 } }  \\

Выделяем квадрат суммы:

 {x}^{2}  + 6x + 8 =   \\  = {x}^{2}  + 2 \times x \times 3 + 9 - 1 =  \\  =  {(x + 3)}^{2}  - 1

Получаем:

\int\limits \frac{dx}{ \sqrt{ {(x + 3)}^{2}  - 1 } } \\

решаем как табличный интеграл

\int\limits \frac{d(x + 3)}{ \sqrt{ {(x + 3)}^{2}  - 1 } }  =  \\  =  ln(x + 3 +   \sqrt{ {x}^{2}  + 6x + 8}  )  + C

Вас заинтересует