• Предмет: Математика
  • Автор: Karpuhinamarusa
  • Вопрос задан 3 года назад

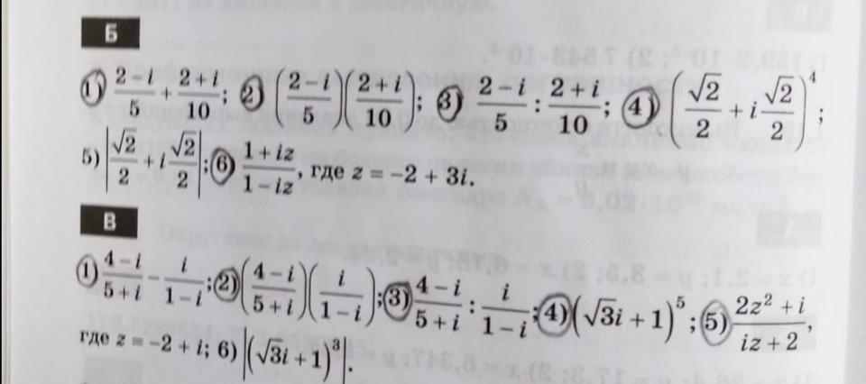
Помогите решить примеры пожайлуста.

Приложения:

Ответы

Ответ дал: Kateshtan
0

Ответ:

1) 8-i\15  2)4-i^2\50  3)6\5-8\5i  4)-1  5)3\13-11i\13  6)1+4i\6-4i  7)6\13-9\13i  8)2z^2\iz+2+i\iz+2

Пошаговое объяснение:

надеюсь хоть что то правильно, ибо не профи в математике


Kateshtan: если что, то первым писала числитель, после дроби знаменатель
Karpuhinamarusa: А можно подробное решение
Вас заинтересует