• Предмет: Физика
  • Автор: visok37152
  • Вопрос задан 3 года назад

Помогите пожалуйста, срочно надо

Приложения:

Ответы

Ответ дал: gashitskiybodya
1

Ответ:

Объяснение:

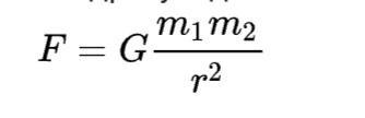
Чтобы найти силу, с которой тела взаимопритягиваются надо воспользоваться ф-лой, которую я прикрепил как изо. Подставляем все значения, G = ~6.6742 * 10^-11

F = 6.6742 * 10^-11  м^3 кг^-1 с^-2 * ( 7000кг * 8000кг / (4000м)^2 ) = 23.4 * 10^-11 Н

если округлить до целих, то 23 * 10^-11

P.S Если что, то знак ^ это степень, то есть 10^-2 это десять в минус другой степени

Приложения:
Вас заинтересует