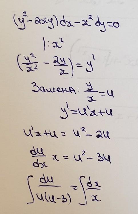
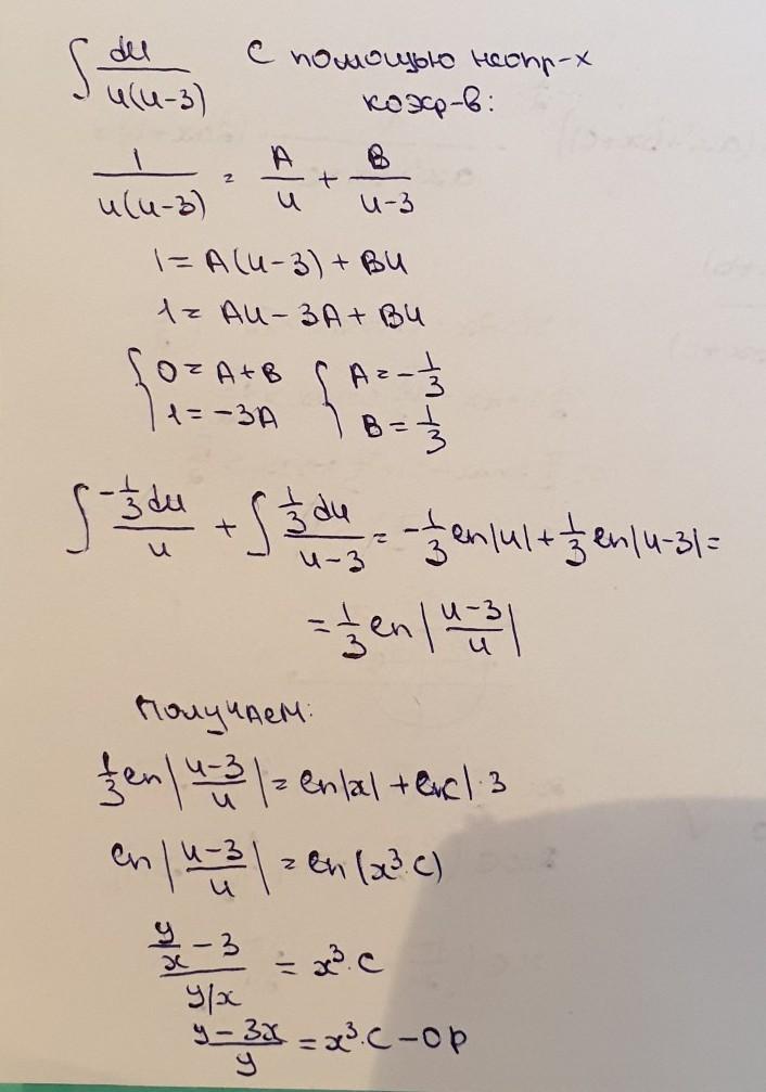
Срочно! Общее решение дифференциального уравнения 1.(y^(2)-2xy)dx-x^(2)dy=0; 2. Siny cos xdy= cosy sin xdx
Ответы
Ответ дал:
1
Ответ:
решение на фотографиях
Приложения:



Вас заинтересует
2 года назад
2 года назад
2 года назад
7 лет назад