• Предмет: Алгебра
  • Автор: an8765332
  • Вопрос задан 3 года назад

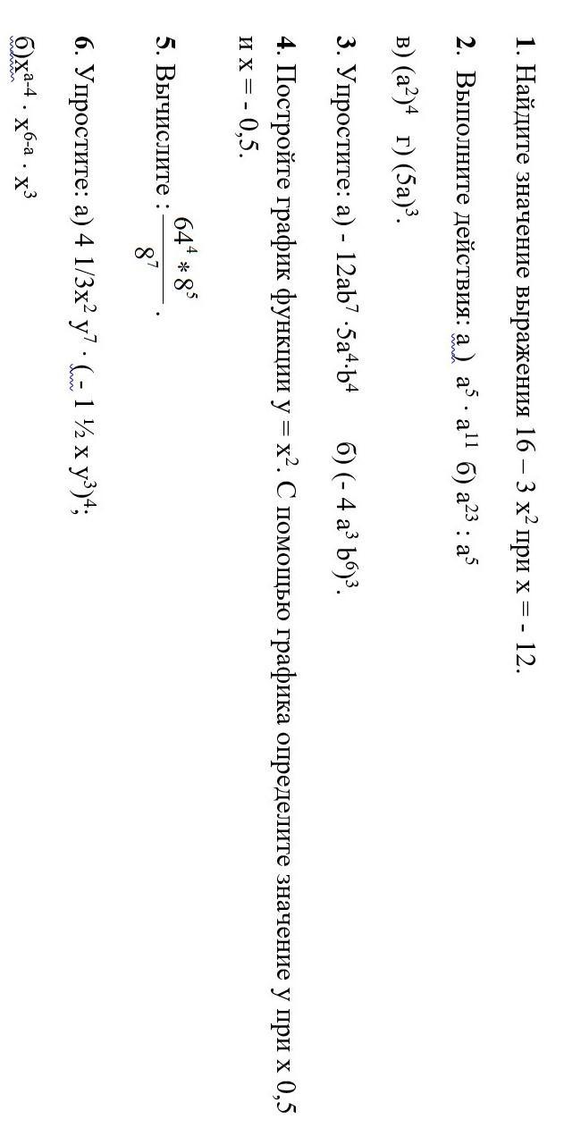
Помогите пожалуста срочно мне надо =(
45 балов наверно нормально ​

Приложения:

Ответы

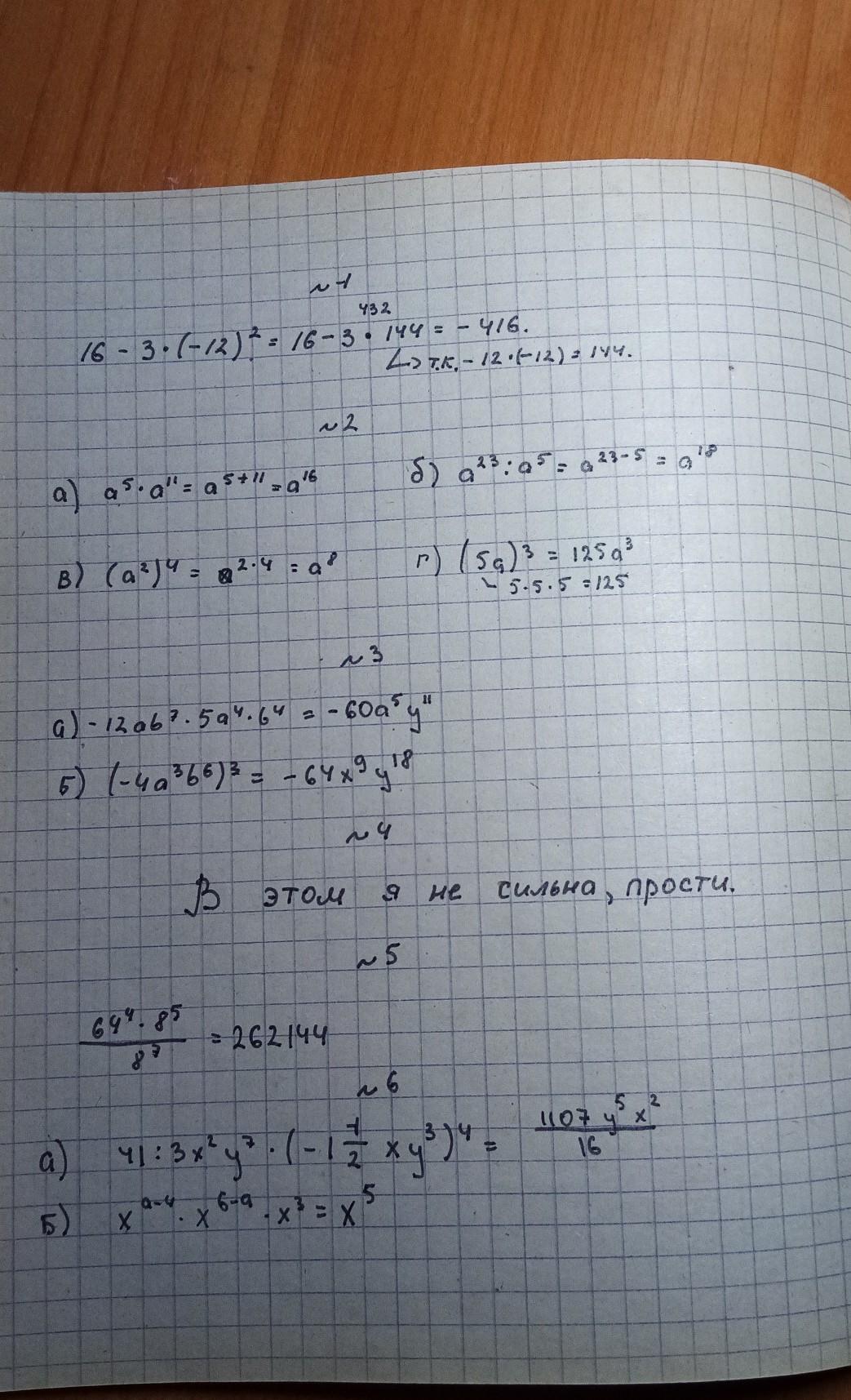
Ответ дал: akkermanan7
1

Объяснение:

Если найдете ошибки, исправляйте сами

Приложения:

an8765332: спасибо огромное
Вас заинтересует
2 года назад