• Предмет: Алгебра
  • Автор: xexeboy30
  • Вопрос задан 3 года назад

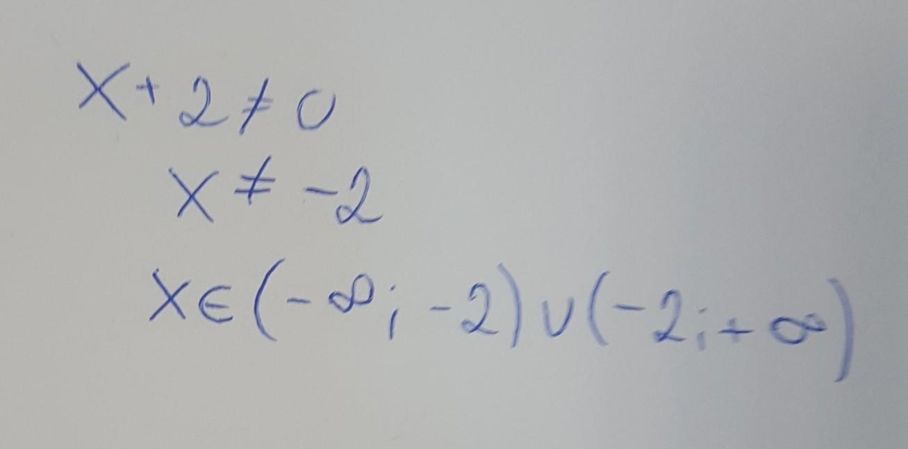
Найдите область определения
функций, заданной формулой = X
/ (х + 2)
о(-ю: +x)
О (-ю; -2) - (-2; +0)
о(-x; +x)
О(-2; 2)​

Ответы

Ответ дал: vityamath
0

Объяснение:

Решение на фотографии

Приложения:
Ответ дал: almurat10
0

Ответ:

x + 2≠

Ю:+х =≈

22

Вот

Вас заинтересует