• Предмет: Математика
  • Автор: vikalutkova55977
  • Вопрос задан 3 года назад

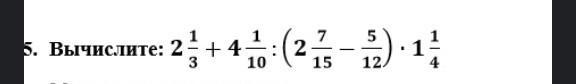
Даю 30 баллов помогите с решением ​

Приложения:

Ответы

Ответ дал: aika963
1

Ответ:

на фото

Пошаговое объяснение:

Приложения:
Вас заинтересует