• Предмет: Математика
  • Автор: Аноним
  • Вопрос задан 3 года назад

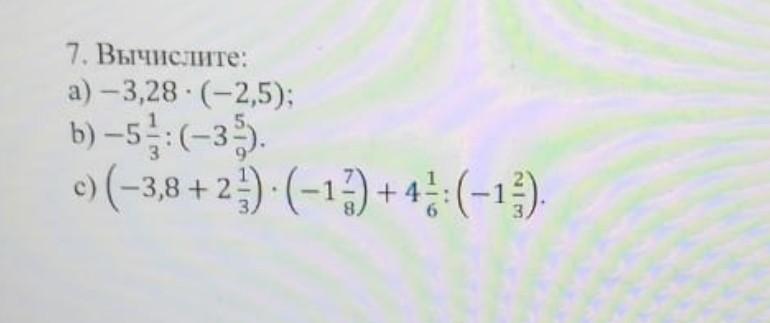
срочно матем 6 класс​

Приложения:

Ответы

Ответ дал: ilinnv240306
1

Ответ:

-3,28•(-2,5)=3,28•2,5=8,2

-5 1/3:(-3 5/9)=16/3:9/32=3/2

(-3,8+2 1/3)•(-1 7/8)+4 1/6:(-1 2/3)=1/4

Вас заинтересует