• Предмет: Алгебра
  • Автор: asd2asdasd
  • Вопрос задан 3 года назад

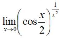
Найти предел, используя правило Лопиталя

Приложения:

Ответы

Ответ дал: m11m
0

Ответ:

Объяснение:

!!!!!!!!!!!!!!!!!!!!!!!!!!!!

Приложения:
Вас заинтересует