• Предмет: Алгебра
  • Автор: nollis
  • Вопрос задан 10 лет назад

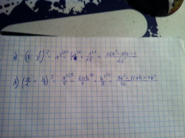
Преобразуйте выражение 1) (a-1/5)в квадрате.2) (a/2+b/3)в квадрате.

Ответы

Ответ дал: wtf234
0
Все очень просто решается по квадрат разности (a-b)^2 = a^2-2ab+b^2

Приложения:
Ответ дал: nollis
0
как это записывать
Ответ дал: wtf234
0
-2a/5+1/25
Вас заинтересует